微积分知识梳理2——连续
连续是一种很普遍的现象,不断流逝的时间,物理上的运动,几何里的曲线都是连续的例子。 如果画一条连续的曲线,就要笔不能抬起,要连续的一笔画出。这是一种定性的说明,有了极限的概念后,我们可以从定量上分析连续。 我们先看一下反应实数连续性的实数基
连续是一种很普遍的现象,不断流逝的时间,物理上的运动,几何里的曲线都是连续的例子。 如果画一条连续的曲线,就要笔不能抬起,要连续的一笔画出。这是一种定性的说明,有了极限的概念后,我们可以从定量上分析连续。 我们先看一下反应实数连续性的实数基
导数是微积分中重要的基础概念,可以用来研究变化率等问题。如果知道函数在各个点的变化率,就可以在一个点估计函数的微小改变量,这叫做函数的微分。 导数的定义 导数的产生来源于两大问题:瞬时速度和曲线的切线。平均速度就是运动的物体走过的位移和所用
本文总结了中学数学中的常用公式,这些在微积分中也会用到。由于属于初等数学的内容,我们并不给出证明,在后面的微积分中会直接拿来使用。
最近在复习微积分,于是在这里把相关的知识点整理一下。因为博主并不是数学专业,所以本文更倾向于直观的理解而不是精确的数学推导。虽然如此,但本文尽量从最基本的定义和已知的定理出发,推导出其他定理。 极限的概念是整个微积分的基础,理解极限的概念十
本文是学堂在线组合数学第二周的笔记,包含可重组合和全排列等知识点。
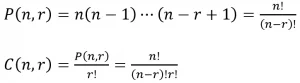
本文是 TsinghuaX: 60240013X 组合数学(2015春)第二周的笔记1。 计数,也就是计算所有符合要求的情况的数量。它的关键是要无重复、无遗漏的包含所有的情形。这不仅出现在我们生活中的一些问题中,而且对于编写程序、分析算法复
第一个动画和第二个动画其实都是对时域的周期矩形形波(近似看成矩形波,并不是严格意义的矩形方波)进行傅里叶变换分析。 对于第一个图形来说,它侧重展示变换的本质之一:叠加性,每个圆代表一个谐波分量。 第
第一课 什么是卷积 卷积有什么用 什么是傅利叶变换 什么是拉普拉斯变换 引子 很多朋友和我一样,工科电子类专业,学了一堆信号方面的课,什么都没学懂,背了公式考了试,然后毕业了。 先说”卷积有什么用”这个问题。(有人抢
某场大型比赛中共有569个参赛者,如果进行单场淘汰赛,直至决出冠军,请问一共要进行多少场比赛? 一共569个人参赛,所以整个比赛过程需要淘汰568个选手才能决出最后的冠军。由于进行的是单场淘汰赛,每场比赛淘汰一个人。所以一共需