雅乐网

最新AI技术 | 编程 | 个人成长

作者档案

昵称:yalewoo

所在地:北京

主页: http://www.yalewoo.com

该作者的所有文章:

常用数据结构C++实现(6):B树

常用数据结构C++实现(6):B树

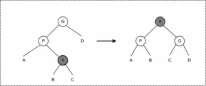
本文介绍的数据结构英文是B-tree,中文写作B-树,其中 – 并不是减号,而是连接符,读作B树。 B-树是一种平衡搜索树,但它的每个结点包含的元素可以多于2个,因此并不是严格意义上的二叉树。 B-树的结点类似如下: 这可以看做

常用数据结构C++实现(5):伸展树

常用数据结构C++实现(5):伸展树

伸展树也是一种平衡二叉搜索树,但它的平衡是在平均意义下的。伸展树中n次操作,每次的均摊复杂度是O(logn) 。而单独的一次操作,可能达到O(n)的复杂度。那么,与AVL相比,伸展树的优势又在哪里呢? 伸展树中,每次会把访问到的结点通过单旋

常用数据结构C++实现(4):AVL树

常用数据结构C++实现(4):AVL树

一般的二叉搜索树的高度并没有得到有效限制,在极端情况下,他甚至可以退化为一个链表。而对树高进行限制以达到O(logn)高度的二叉搜索树,又称为平衡搜索树。AVL树是最先发明的自平衡二叉查找树,它的名字来源于它的发明者 G.M. Adelso

二叉树的图形化显示

二叉树的图形化显示

二叉树的图形化显示最主要的一步就是计算每个结点的位置。得到位置后,可以使用命令行或者图形界面来显示。应该说使用图形界面可以在任意坐标处画图,实现起来要比命令行简单很多。本文介绍如何计算结点的横纵坐标,并分别给出命令行和基于QT的图形界面显示

常用数据结构C++实现(2):栈和队列

常用数据结构C++实现(2):栈和队列

栈和队列都可以看做插入和删除受限制的线性表,通过继承线性表可以实现栈和队列。 Github:  https://github.com/yalewoo/cpp-data-structure 栈(Stack) 从Vector派生而来,新增的接口

常用数据结构C++实现(1):向量和列表

常用数据结构C++实现(1):向量和列表

向量和列表都是逻辑上线性数据结构,在物理上向量是顺序存储,列表是链式存储。 向量(Vector)接口描述 概述 内部使用数组封装,支持随机访问 空间复杂度 插入时,若容量不足会翻倍 删除时,目前不会缩小占用内存 构造函数和析构函数 Vect

选取算法:中位数和第k小数

选取算法:中位数和第k小数

选取序列的第i小元素又称为选择问题,第i小的元素又称为第i个顺序统计量。简单的,排序之后我们可以立即找到第i小的元素,这种方法的时间复杂度是排序的时间复杂度,下界是O(nlogn)。但是选取第i小元素显然和排序相比要更简单,所以我们有理由相

计数排序和基数排序

计数排序和基数排序

基于比较的排序的时间复杂度下界是O(nlogn),但是当要排序的元素具有一些特殊性质的时候,可以使用非比较的方法突破这种限制。 计数排序 当待排序的元素a[]都是位于区间[0,k]中的整数时,可以使用计数排序。计数排序顾名思义就是统计元素的

基于比较的排序算法的下界

基于比较的排序算法的下界

在排序的结果中,各个元素的次序依赖于他们之间的比较,这种排序算法叫做比较排序。基于比较的排序有O(n^2)的冒泡排序、插入排序等,也有O(nlogn)复杂度的归并排序、堆排序等。实际上,O(nlogn)在渐进意义上是最优的。 假设我们有n个